Combining QEDC with QEM
Here is an summary of my contribution to the project “Combining Error Detection and Mitigation: A Hybrid Protocol for Near-Term Quantum Simulation”, which is public on arXiv.
I. The idea of hybrid protocol (QEDC+PEC)
Motivation from the perspective of QEDC. QEDC is widely considered a suitable starting point for the practical implementation of stabilizer codes (see e.g., [1], [2]) since it requires only constant qubit overhead and simple post-processing. Moreover, QEDCs offer a simpler encoding scheme (see S.I. of [3] and [4]) for exponential operators $\exp(-{\rm i}\theta P)$ where $P$ is Pauli, which eliminates the need for compilation into Clifford+$\mathrm{T}$ circuits and avoiding circuit synthesis errors due to compilation approximation. However, there still remain a significant amount of undetectable errors in the simple, but non-fault-tolerant, encoded circuit. Therefore, one can apply PEC to eliminate remaining noise and recover noisy operator expectation values.
Motivation from the perspective of PEC. PEC is able to recover noise-free expectation value but its sampling overhead grows exponentially when the number of physical error events. It is expected that PEC has smaller sampling cost when it is only used to remove undetectable errors in the encoded circuit.
Protocol. Consider a noisy encoded circuit with totally $L$-layers shown in below figure,
\[\widetilde{\mathcal{D}}\circ\widetilde{\mathcal{U}}\circ\widetilde{\mathcal{E}} (\rho_0)= \mathcal{N}_{L}\circ\mathcal{U}_{L}\circ \cdots \circ \mathcal{N}_{1}\circ\mathcal{U}_{1} (\rho_0) = \mathcal{N}_{\rm tot}\circ\mathcal{D}\circ\mathcal{U}\circ \mathcal{E}(\rho_0),\]where $\rho_0$ is initial state and the overall protocol includes noisy state-preparation circuit $\widetilde{\mathcal{E}}$, noisy unitary operation $\widetilde{\mathcal{U}}$ and noisy decoding circuit $\widetilde{\mathcal{D}}$. Here, a noisy layer is modeled as $\widetilde{\mathcal{U}}_l = \mathcal{N}_l \circ \mathcal{U}_l$, where $\mathcal{U}_l(\rho) =U_l\rho U_l^{\dagger}$ is a noise-free unitary channel and $\mathcal{N}_l$ is the noise channel associated with the layer. The decoding circuit will be used for error detection, and the data will be selected if both of the first two qubits are measured as $+1$.

After error detection and post-selection, one has
\[\widetilde{\rho} = \widetilde{\mathcal{D}}\circ\widetilde{\mathcal{U}}\circ\widetilde{\mathcal{E}} \xrightarrow{\text{ error detection and post-selection }} \mathcal{N}_{\rm reduced}(\rho).\]Here, \(\mathcal{N}_{\rm reduced}(\rho)\) is the noisy quantum state after post-selection, where $\rho$ is the noiseless final state and \(\mathcal{N}_{\rm reduced}\) only contains errors that cannot be removed by the QEDC. One can implement \(\mathcal{N}_{\rm reduced}^{-1}\) to cancel undetectable errors and recover noise-free unitary,
\[\langle \widehat{A}\,\rangle = {\rm Tr}\left[ A\,\mathcal{N}^{-1}_{\rm reduced}\circ\mathcal{N}_{\rm reduced}(\rho)\right].\]Sampling overhead. The overhead of PEC can be evaluated by $\gamma^2$, where $\gamma$ is the parameter related to the quasi-probability distribution. Below figure includes a comparison of $\gamma^2$ under three error mitigation settings. The first is the regular PEC protocol that cancels noise after each layer, the second is PEC that cancels estimated overall noise, and the third is the hybrid protocol with QEDC and PEC. The first two settings have $L$-layers of depolarizing noise channel with the same error rate on a $4$-qubit circuit. The third setting has $L$-layers of depolarizing noise channel but on a $6$-qubit circuit, and calculate the sampling overhead of overall noise after removing detectable Pauli errors. Above tests do not include any types of unitary operations in our simulation for simplicity. Our results indicate that PEC on estimated overall noise has a lower sampling overhead than regular PEC protocol, and PEC on encoded circuits is more efficient than PEC on unencoded circuit.

II. Experiments
Following the setting of unitary couple cluster ansatz and the Hamiltonian in [1], I construct a VQE circuit that estimates the ground-state energy of $\rm H_2$. Encoding the logical circuit (top) using the $[[4,2,2]]$ code leads to the physical circuit (middle) with initial state preparation $\mathcal{E}$, unitary operation $\mathcal{U}$ and decoding $\mathcal{D}$. The compiled circuit (bottom) is transformed from the physical circuit by swapping the first two-qubit and replacing long-range $\rm CNOT$ gates with equivalent neighboring $\rm CNOT$ gates. Although this compilation may not be fully optimized, it would not affect the demonstration and performance of our protocol.

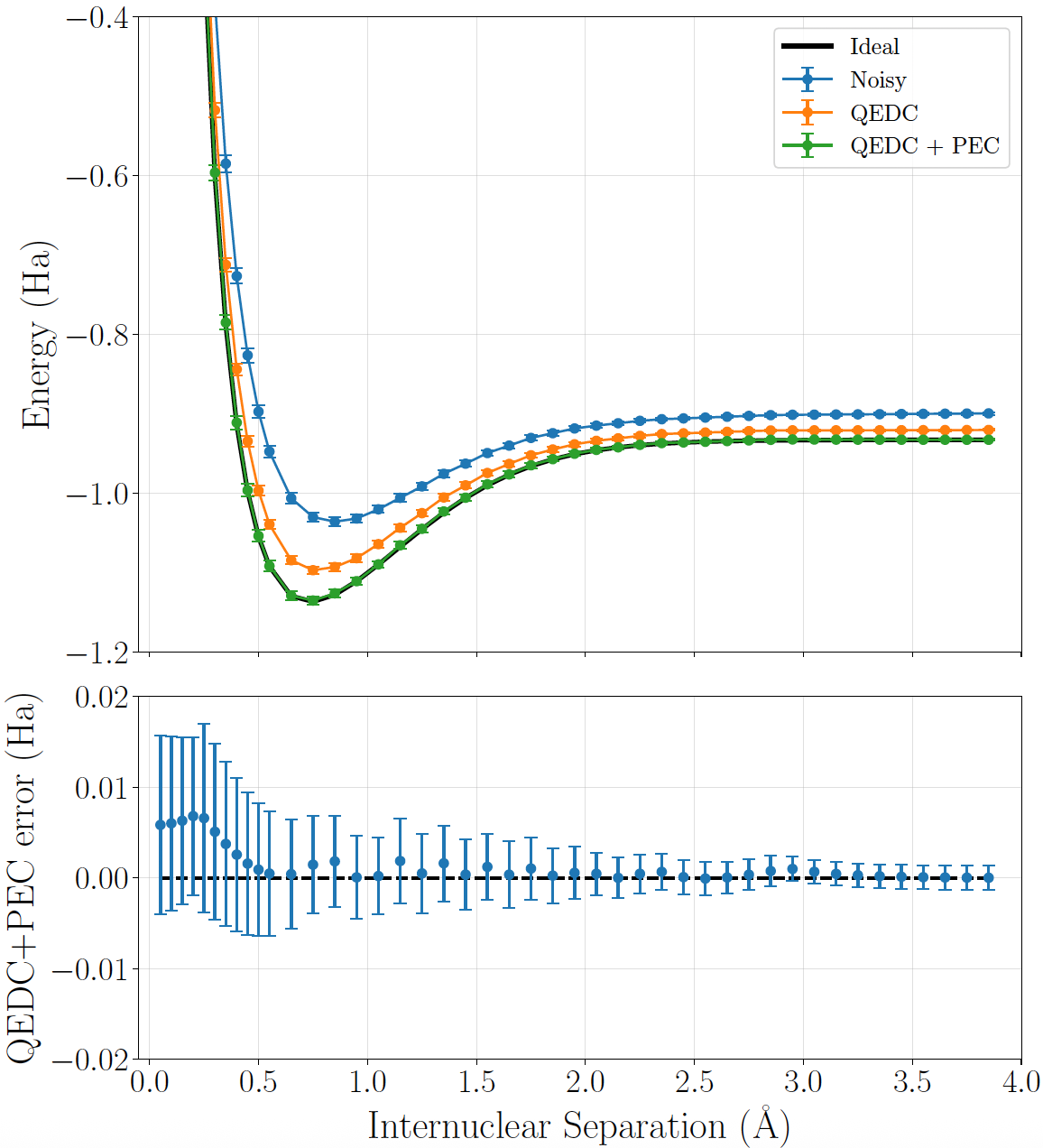
Here is result of potential energy surface of $\rm H_2$ from $\texttt{qiskit AerSimulator}$.

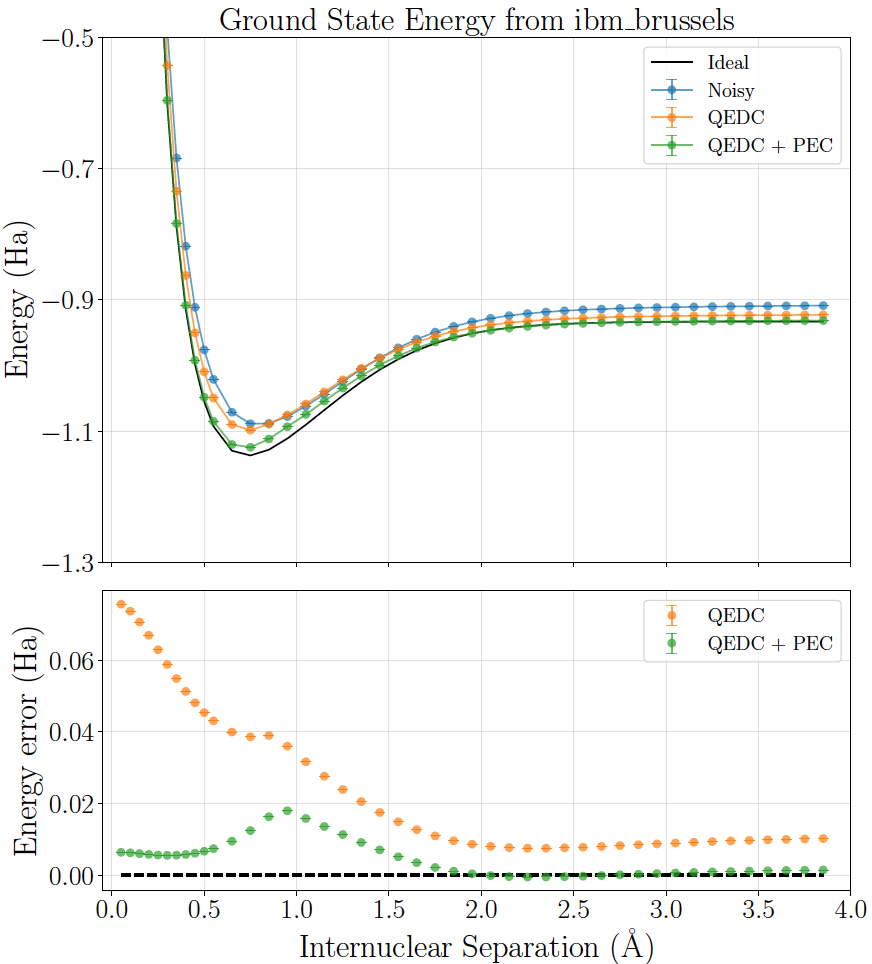
Here is result of potential energy surface of $\rm H_2$ from $\texttt{ibm_brussels}$.

III. Others
Note that we learn the Pauli fidelity of $\rm ECR$ gate, which does not require interleaved cycle benchmarking since all learnable Pauli fidelity can be obtained from regular cycle benchmarking.